前言
崩解剂是指能使片剂在胃肠液中迅速裂碎成细小颗粒的物质,从而使活性成分迅速溶解吸收,发挥作用。这类物质大都具有良好的吸水性和膨胀性,从而实现片剂的崩解。除了缓(控)释片以及某些特殊用途的片剂以外,一般的片剂中都应加有崩解剂。
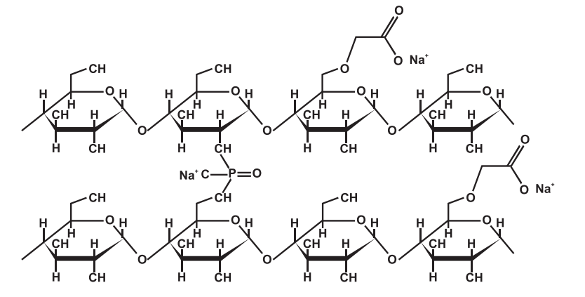
SallysoTM交联羧甲基纤维素钠(Croscarmellose Sodium)
交联羧甲基纤维素钠是羧甲基纤维素钠的交联聚合物。在口服剂型中用作胶囊剂、片剂和颗粒剂的崩解剂。片剂中,交联羧甲基纤维素钠适用于直接压片和湿法制粒压片工艺。湿法制粒时,交联羧甲基纤维素钠可分别于润湿阶段或干燥阶段加入(颗粒内加和颗粒外加),这样可以最好发挥崩解剂的毛细管和溶胀作用。交联羧甲基纤维素钠用作崩解剂时,浓度可达5%(W/W),但通常直接压片工艺中的用量为2%(W/W),湿法制粒压片时为3%(W/W)。
粒径

电镜图

1 使用SallysoTM的处方示例
二甲双胍片(直接压片)

Gangwal产品(SallysoTM)从硬度、可压性和崩解性能与竞争对手产品能力相当或优于竞争对手产品。
SallysoTM可缩短崩解时间
众所周知的磷酸二钙片剂崩解性差的事实,我们比较了不同水平的交联羧甲基纤维素钠及其对磷酸二钙片崩解时间的影响。

Solvostar 羧甲基淀粉钠
(Sodium Starch Glycolate)

羧甲基淀粉钠是一种白色无定形的粉末,有吸、湿性,在水中散成粘稠状胶体溶液,在乙醇或乙醚中不溶。其松密度为0.66g/ml,振实密度为0.83g/ml。本品一般呈球状,因此具有很好的流动性。
电镜图

1 使用Solvostar(SSG)的处方示例
双氯芬酸片

结果:

在1%的SSG水平上,Gangwal产品(Solvostar)的崩解性能优于竞争对手产品;在2%和4%的水平上,崩解能力相当。

在1%和2%水平,崩解能力相当;在4%水平,Gangwal产品(Solvostar)崩解性能优于竞争对手产品。

在1%和2%水平,崩解能力相当;在4%水平,Gangwal产品(Solvostar)崩解性能优于竞争对手产品。
产品对比——交联羧甲基纤维素钠 VS 羧甲基淀粉钠
崩解特性对比

崩解能力

吸水滞后时间反映了水渗透进入片剂的初始情况,一般吸水滞后时间越短、吸水速率越大,片剂崩解就越快。而对于羧甲基淀粉钠,虽然其吸水滞后时间长,吸水速率小,但是由于它遇水后迅速膨胀的特性,足以克服颗粒间的粘连,用于片剂后崩解效果仍然很好。
配伍禁忌与安全性

登记号信息:
交联羧甲基纤维素钠:F20230000371
羧甲淀粉钠:F20240000310